
甲基丙烯酸縮水甘油酯(Glycidyl Methacrylate,縮寫GMA)是一個同時具有丙烯酸酯雙鍵和環氧基團的單體。丙烯酸酯雙鍵的反應活性較高,可以進行發生自聚反應,也可以和很多其他單體進行共聚反應;而環氧基團則可以和羥基、氨基、羧基或酸酐發生反應,引入更多的官能團,從而對產品帶來更多的功能性。因此GMA在有機合成、高分子合成、聚合物改性、復合材料、紫外光固化材料、涂料、粘合劑、皮革、化纖造紙和印染等等諸多方面有著極其廣泛的應用。
甲基丙烯酸縮水甘油酯(GMA)的分子式
GMA的理化性質
GMA的CAS號是106-91-2,分子量142.15,密度1.068@25oC,粘度2.7cps@15.5℃,沸點189℃,閃點85℃,折射率1.4473。常溫下為無色透明低粘度液體,可溶于常見有機溶劑,不溶于水。由于生產過程中會使用的環氧氯丙烷,通常產品中會有少量的環氧氯丙烷殘留。
GMA帶有丙烯酸酯的典型味道,具有一定的皮膚和眼睛接觸的刺激性。液體和氣體均可燃。在溫度較高時可能發生聚合反應,因此必須添加阻聚劑。
GMA的合成
GMA的合成通常采用相轉移的一步法,或者酯化閉環的兩步法。
一步法(相轉移法):
一步法的操作簡單,反應時間短,但要求整個反應體系無水,對鈉鹽的純度要求很高,并存在環氧氯丙烷用量過多,后續處理繁雜的缺點。美國陶氏公司和國內潤奧化工等大多數公司所使用的是一步法工藝。一步法是首先將甲基丙烯酸和氫氧化鈉或碳酸鈉在有機溶劑中進行酸堿中和反應制得甲基丙烯酸鈉,干燥后在相轉移催化劑存在的情況下,再和環氧氯丙烷按一定比例經脫水、高溫下反應,減壓蒸餾和水洗后得到GMA產品。
兩步法(酯化閉環法):
兩步法是在開環催化劑作用下,首先將甲基丙烯酸和環氧氯丙烷進行開環酯化反應,生成甲基丙烯酸-2-羥基-3-氯丙酯。然后再將甲基丙烯酸-2-羥基-3-氯丙酯在氫氧化鈉固體或水溶液存在的情況下進行脫氯化氫的閉環反應,或者在碳酸鉀的丙酮溶液中進行回流來得到產品。
第一步
第二步
另外還有催化酯交換法、脂肪酶催化合成法、選擇性環氧化法和環氧基轉移反應法等方法。
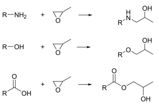
圖1 環氧基團和胺基、羧基、羥基的反應示意圖
GMA在粉末涂料中的應用
丙烯酸粉末涂料是粉末涂料中的一大類,根據其所用的固化劑不同可分為:羥基型丙烯酸樹脂,羧基型丙烯酸樹脂,縮水甘油基丙烯酸樹脂,酰氨基丙烯酸樹脂。其中縮水甘油基丙烯酸樹脂是用得最多的粉末涂料樹脂,可以用多元羥酸、多元胺,多元醇、多元羥基樹脂,羥基聚酯樹脂等固化劑成膜。
通常采用甲基丙烯酸甲酯、甲基丙烯酸縮水甘油酯、丙烯酸丁酯、苯乙烯進行自由基聚合合成GMA型丙烯酸樹脂,用十二烷基二元酸作為固化劑,所制備的丙烯酸粉末涂料具有良好的性能。合成過程可以用過氧化苯甲酰(BPO)和偶氮二異丁腈(AIBN)或其混合物作為引發劑。GMA用量對涂膜性能的影響是非常大的。如果用量太少,樹脂的交聯度低,固化交聯點少,涂膜的交聯密度不夠,涂膜的耐沖擊性差。
GMA在聚合物改性中的應用
GMA由于存在一個具有活性較高的丙烯酸酯雙鍵,可以接枝到聚合物上面,而GMA所帶有的環氧基團可以和多種其他官能團反應,從而形成功能化的聚合物。可以采用溶液接枝、熔融接枝、固相接枝、輻照接枝等方法將GMA接枝改性聚烯烴,也可以與乙烯、丙烯酸酯等形成功能化共聚物。這些功能化聚合物可以作為增韌劑來增韌工程塑料或作為增容劑提高共混體系的相容性。
GMA對聚烯烴接枝改性常用的引發劑是過氧化二異丙苯(DCP),也有人采用過氧化苯甲酰(BPO)、丙烯酰胺(AM)、2,5-二叔丁基過氧基-2,5-二甲基-3-己炔(LPO)或1,3-二叔丁基過氧化異丙苯等引發劑。其中AM作引發劑時對減小聚丙烯的降解具明顯作用。聚烯烴接枝GMA后會導致聚烯烴結構的變化,從而引起聚烯烴的表面性能、流變性能、熱性能、力學性能的改變。GMA接枝改性聚烯烴提高了分子鏈的極性,同時也提高了表面極性,因此,表面接觸角隨著接枝率的提高而減小。由于GMA改性之后對聚合物結構的改變,同時也會影響其結晶性能和力學性能。
GMA在樹脂共聚合成中的應用
阿科瑪公司的LOTADER系列產品,就是乙烯、丙烯酸酯和GMA的無規共聚產品,其中GMA含量最高達8%。其對于聚烯烴類產品具有很好的相容性,并對多種聚合物、金屬、紙張和玻璃等有很好的結合力。
Grades | Reactive group | Co-monomer (%) | Typical Properties | |||
Reactive group(%) | Melt index (g/10 min) (190℃-2.16kg) | Melting point (℃) | Vicat softening temp.(℃) | |||
AX8700 | GMA Expoxide group | BA(25%) | 8 | 9 | 72 | - |
AX8750 | BA(25%) | 5 | 12 | 72 | - | |
AX8820 | - | 4.5 | 2 | 107 | 88 | |
AX8840 | - | 8 | 5 | 106 | 87 | |
AX8900 | MA(24%) | 8 | 6 | 65 | <40 | |
AX8930 | MA(25%) | 3 | 7 | 67 | <40 |
GMA和苯乙烯、丙烯腈的三元共聚物,則可以用于PA、PC、PBT、PET等回收材料的擴鏈劑,PC/ABS、PA/ABS、PBT/ABS等合金的消光劑,以及ABS/PBT、ABS/PET、PC/ABS等合金的相容劑。
GMA在UV固化樹脂合成中的應用
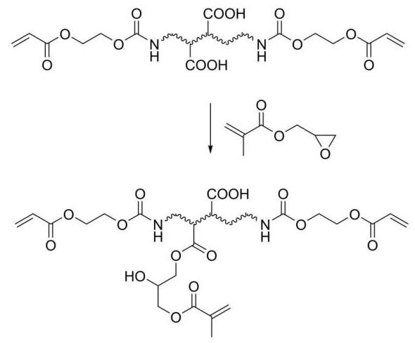
GMA可以通過多種合成路線用于UV光固化樹脂合成。一種方法是首先通過自由基聚合或縮合聚合,得到在側鏈上含有羧基或氨基的預聚體,然后再用GMA和這些官能基反應,引入感光基團從而得到光固化樹脂。在第一步共聚時,可以采用不同的共聚單體,從而得到最終性能各異的聚合物。馮宗財等人采用1,2,4-偏苯三酸酐和乙二醇反應合成超支化聚合物,再通過GMA引入感光基團,最終得到較好堿溶性的光固化樹脂。陸挺峰等人采用以聚己二酸-1,4-丁二醇酯、甲苯二異氰酸酯、二羥甲基丙酸和丙烯酸羥乙酯先合成具有感光活性雙鍵的預聚物,再通過GMA引入更多的可光固化雙鍵,經三乙胺中和,得到水性聚氨酯丙烯酸酯乳液。
圖2 光固化水性聚氨酯乳液的合成的線路圖
另一種方法,是首先將GMA和其他單體進行共聚,得到側鏈含有環氧官能基的共聚物,然后再通過丙烯酸或甲基丙烯酸同環氧官能基反應,從而得到具有光固化活性的樹脂產品。
GMA在紫外固化粉末涂料中的應用
紫外固化粉末涂料是將UV固化技術和傳統的粉末涂料固化技術相結合的新技術,它結合了UV固化和粉末涂料的優點,被廣泛用于中密度纖維板(MDF)和金屬等材料的涂裝中。
紫外固化粉末涂料可以首先合成羧基型聚酯,然后再通過GMA和端羧基反應,生產具有感光基團的紫外固化粉末涂料。熊偉等人采用對二羥甲基環己烷和己二酸通過酯化反應生成端羧基聚酯樹脂,周詩彪等人采用甲基丙烯酸甲酯、丙烯酸乙酯和丙烯酯丁酯自由基共聚得到含羧基的預聚物。這些預聚物再和GMA反應引入光活性基團。
圖3 光固化粉末涂料樹脂的合成路線
GMA在大孔聚合物中的應用
以GMA為單體,二乙烯苯(DVB)和/或三烯丙基異氰脲酸酯(TAIC)作為交聯劑,采用甲苯和正庚烷等作為致孔劑,通過懸浮聚合,可以合成大孔共聚物。
由于該大孔聚合物帶有活性環氧基,易于進行化學修飾,從而固載配體制備出各種吸附劑。如固載多粘菌素,可治療高脂血癥,固載鳥氨酸可治療系統性紅斑狼瘡等。大孔聚合物也可與甘露醇進行功能基化反應, 獲得帶有多羥基的吸附劑。
GMA除了上述的應用以外,還可以用于粘合劑、UV壓敏膠、汽車涂料、水性涂料等的應用。總體來說,由于甲基丙烯酸縮水甘油酯(GMA)本身帶有丙烯酸酯雙鍵和環氧基團,這使得其應用范圍十分廣泛。